It’s a brave new world. After forty plus years of playing March Madness pools and even winning a few (how about NC State in 1984?), I worked with ChatGPT to help me fill out my brackets. Like most people, I watch some college hoops—but usually it’s my three or four favorite teams and whoever they’re playing. I will catch some of the big national games on the weekend, but that’s about it.
So, normally when I stare at the yawning bracket, I wonder: Where is High Point University and who do they play? What about the dreaded 12/5 upset? Is it too chicken to pick the #1 seeds to win? A lot of anxiety and not much insight.
Can a machine outsmart forty years of instinct?
I asked how it would build a model to predict the winner of the NCAA tournament. Just its response made me say “wow”.
Here’s the response: “I can absolutely help build one with you: from a simple seed-and-efficiency model to a more serious probability model using KenPom-style efficiency, pace, injuries, travel, coaching, and upset history. I can also help with: bracket win probabilities, upset picks by round, Monte Carlo tournament simulation, Elo or logistic regression models, and spreadsheet-based prediction tools.
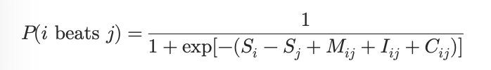
ChatGPT considered team strength on a neutral court, including offensive and defensive efficiency, strength of schedule, consistency, and squad strength, among other factors. That ultimately turned in a set of predictions based on this equation:

It is the considered matchups of two teams using these team ratings, using a logistic model.

Finally, it simulated the entire tournament based on this technique, not more than 50,000 times.
Trust the algorithm — or your gut?
I don’t know about you, but that’s working at a level of calculus and computing power that’s way above my skill level. It then came back with a brilliant nuance, in effect asking, “Is it more important to be right or to win money in your pool?” The difference is that if you only pick the favorites, your percentage correct will be higher, but you won’t separate yourself from the other players in the pool. You need to gamble on a couple of upsets to make money. I can enter two brackets in my most important pool—the one where you get teased roundly if your bracket sucks–so I asked for one of each.
I almost completely followed ChatGPT’s recommendations. The exceptions were giving my three favorite teams a nod in the early rounds. Those teams are Santa Clara, Gonzaga, and UCLA. I would love to be wrong, but I don’t expect to see any of them later in the tournament.
My plan is to track the success or failure of ChatGPT’s predictions here as we go through the tournament. You will be the first to know if Chat GPT makes me look like a fool. My fingers are crossed.
Read the full article here